この記事では、歴代iPhoneシリーズをカメラ機能だけに絞り、スペックを比較して変化点や特徴についてまとめた。
この記事を読んで、iPhoneのカメラの違いを理解し、カメラをよく使う人の購入ガイドなどに役立てていただきたい。
写真だけでなく動画撮影の比較も合わせて行った。
また、近年その重要性を増しているフロントカメラのスペックについても触れた。
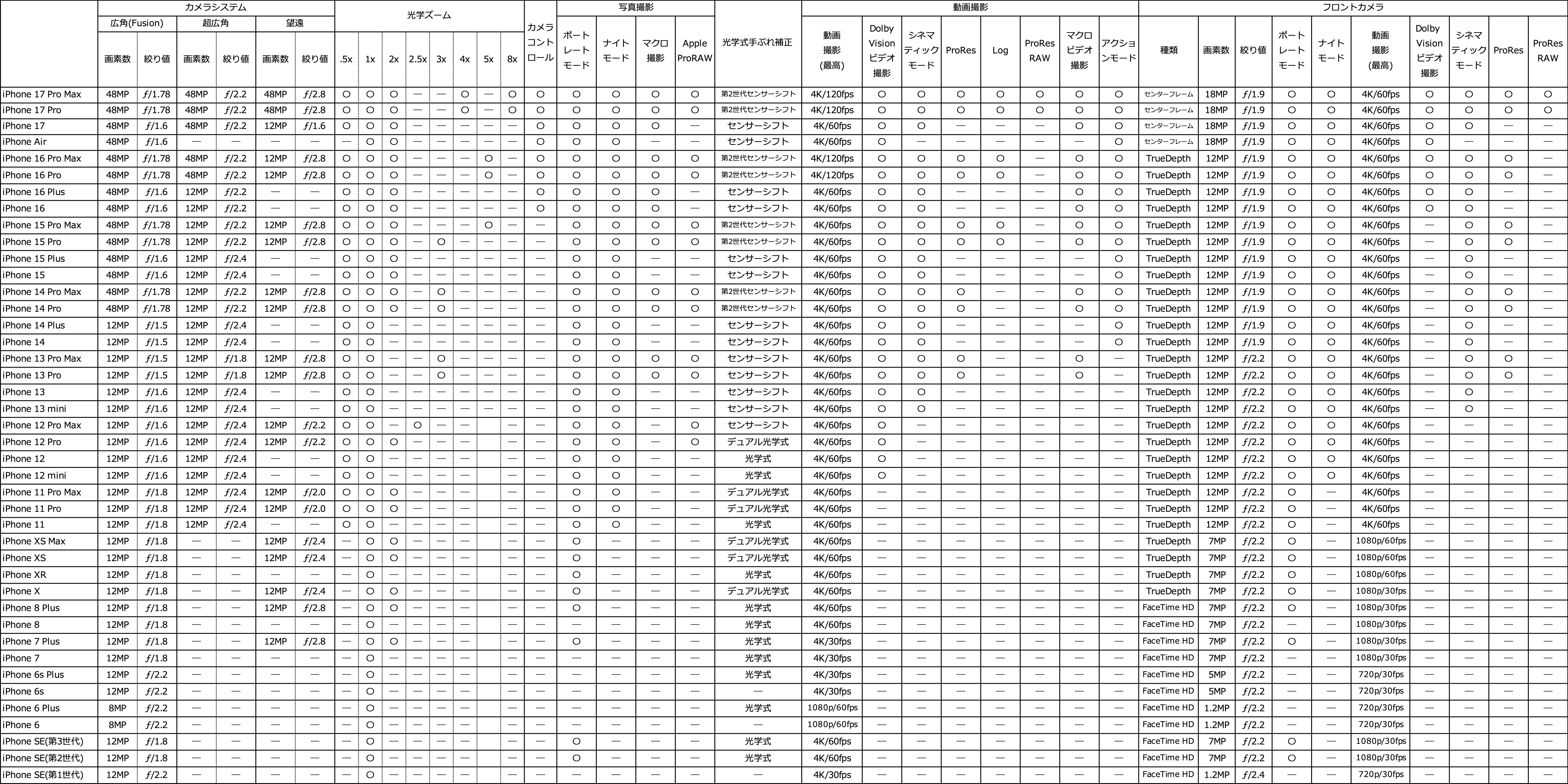
歴代iPhoneカメラ機能比較表

iPhone 17 Pro / Pro Maxの改良点
- 望遠カメラが12MP→48MPに
- 光学ズームが5倍→8倍に
- 動画撮影にProRes RAWが搭載
- フロントカメラがTrueDepth→センターフレームに
メインカメラ(バックカメラ)
カメラは本体よりもレンズが重要と言われている。つまり、注目すべきは絞り値がiPhone 7以降はf/1.8と明るくなっている点だ。
絞り値が小さいほど、より多くの光を取り込むことができるため、暗所撮影に強い。
iPhone7以降、f/1.6、f/1.5まで明るくなったが、iPhone 14 Pro以降はなぜかProグレードの方が絞り値が悪化する傾向が見られる。
推測だが、レンズの明るさよりもコンピューターでノイズを除去したり加工できる技術が進化したため、レンズ自体の明るさは限界に来たとも思われる。
写真撮影
48MP
iPhone 14 Pro&ProMax以降でメインカメラの画素数が一気に48MPまで上がった。
これにより、iPhoneの小さな画面だけでなく、大判の印刷や一部を拡大してクロップできるなど、より本格的な写真の加工ができるようになった。
iPhone 16 Pro&Pro Maxでは、超広角レンズでもメインレンズと同じ48MPの画素数で撮影できるようになった。
これにより、超広角で広い画角で撮影しておいて、後からクロップして被写体をリフレームできるようになり、超広角レンズの出番が増えそうだ。
ポートレートモード
iPhone 7 Plus以降ポートレートモードが採用された。
人物を撮影する場合に背景をぼかして撮影できるようになった。
この機能のおかげで、今までは一眼レフカメラと単焦点レンズのような上級者向けの機材を必要としていたボケのあるポートレート撮影がiPhoneでも撮れるようになった。
望遠レンズ
写真撮影においては、iPhone 12 Pro以降のPro&Pro Maxモデルにおいて望遠レンズを搭載しており、また、Apple ProRAWで撮影できることから、より本格的な写真撮影をしたい人はiPhone 12 Pro以降のPro&Pro Maxモデルがおすすめだ。
Apple ProRAW
一眼カメラの特権であったRAW撮影がiPhone 12 Proから採用された。
これによってiPhoneでRAW撮影してiPhoneで現像するというミラーレスカメラを超えるワークフローが完成された。
動画撮影
超広角レンズ
iPhone 11世代では初めて超広角レンズが採用された。
GoProなどのアクションカメラやドローンで普及した超広角レンズがiPhoneにも搭載されたことで、動画撮影でもアクションカメラの代わりとしてiPhoneが使えるようになった。
特に、iPhone 14世代から採用されたアクションモードと超広角レンズを合わせて使用することで、アクションカメラの市場をiPhoneが攻略しつつあることが伺える。
ProRes撮影
さらに、iPhone 13世代以降のPro/Pro MaxモデルではProRes撮影ができるようになり、スマホでは考えられないような映画のようなプロレベルの動画撮影が可能となった。
Dolby Vision HDRやシネマティックモードの登場も驚いたが、実際に撮影された映像を見るとProResで撮影できることで動画撮影において革命的な変化点になったと思う。
4K 120fps
iPhone 8で4K/60fpsを搭載して以来、iPhone 15世代までは動画の撮影フレームレートは4Kで60fpsにとどまっていた。
iPhone 16 Pro&Pro Maxでついに4K 120fpsに対応したことで、4Kでのスローモーション表現が可能になり、プロレベルの高度な撮影がiPhoneでできるようになったと言える。
フロントカメラ
FaceTimeやLINE等のビデオ通話の他にも、セルフィー写真と動画の撮影もこなす重要なフロントカメラ。
iPhone 14以降は絞り値がf/1.9まで明るくなり、フロントカメラでも驚くほど綺麗な撮影ができるようになった。
メインカメラで採用されたポートレートモードをはじめとする、ナイトモード、Dolby Vision HDR、シネマティックモードなどもフロントカメラで利用できるようになった。
特に、iPhone 13 Pro以降はフロントカメラでもProRes撮影できるという信じられない機能も装備された。
結論とおすすめの機種
こうしてカメラ機能だけに絞ってiPhoneの歴代シリーズを比較すると、その進化に圧倒される。
カメラ機能だけに絞って言うと、個人的には以下をこの記事の結論としたい。
iPhoneでカメラをよく使う人、特に本格的な写真撮影と動画撮影がしたい人は、iPhone 13世代以降のProかPro Maxモデルがおすすめだ。
望遠レンズを搭載していること、Apple ProRAW、ProRes撮影ができるようになり、写真と動画においてミラーレス一眼カメラ顔負けの機能がiPhoneで使えるからだ。
今後も新しいiPhoneが登場したら表を更新していきたい。





